
-
生物通官微
陪你抓住生命科技
跳動的脈搏
Takara新品|含UMI的單細胞RNA-Seq分析試劑盒來咯!
【字體: 大 中 小 】 時間:2022年12月06日 來源:Takara
編輯推薦:
在單細胞RNA-seq領域,Takara Bio提供的SMART技術,可以幫助研究人員進一步突破RNA-seq靈敏度上限,提供高質量的單細胞轉錄組分析結果。本次推薦的新品SMART-Seq mRNA LP (with UMIs),就是整合UMI的單細胞/微量樣本的mRNA全長分析建庫試劑盒。
單細胞轉錄組測序是指在單個細胞水平上,對轉錄組等遺傳信息進行高通量測序分析的一項技術。 研究罕見或珍貴的樣本,比如神經元細胞、干細胞、CTC等,需要非常高的靈敏度和再現性,因為單個細胞中RNA的含量十分有限(根據單個細胞的大小等情況不同,每個細胞可能只含有幾十皮克的RNA)。因此,生成沒有偏倚的mRNA-seq cDNA文庫是很具有挑戰性的一項工作。
創新研究不斷推動新技術的邊界,以獲得引人注目的結果,而這其中仍然需要試劑、技術的支撐。在單細胞RNA-seq領域,Takara Bio提供的SMART技術,可以幫助研究人員進一步突破RNA-seq靈敏度上限,提供高質量的單細胞轉錄組分析結果。本次推薦的新品SMART-Seq mRNA LP (with UMIs),就是整合UMI的單細胞/微量樣本的mRNA全長分析建庫試劑盒。
產品亮點
• “高端”的技術萬里挑一
基于Takara Bio的核心SMART技術(Switching Mechanism at 5' End of RNA Template)優化改良,提供全長轉錄本信息,可以高靈敏度地在單細胞水平上分析差異表達、融合基因、可變剪接等。
• 加持的“標簽”鼎力相助
通過逆轉錄步驟添加分子標簽(UMIs),可以靈敏地識別PCR重復片段,并校正PCR擴增錯誤,從而獲得更高準確性的基因或轉錄本檢測數。
• 連貫的文庫構建流程
同時整合了Takara Bio專利性 的文庫構建技術(U.S. Patents 7,803,550, 8,399,199, 8,728,737, 9,598,727, 10,196,686, 10,208,337, 和11,072,823),利用特別的莖環形接頭構建高品質Illumina文庫!另外,搭配使用Unique Dual Index Kits(單獨銷售),可以提供完整的從樣品到cDNA合成,再到文庫構建的實驗體驗。同時搭配特別開發的Cogent NGS生物信息學分析軟件,能直接對下機數據進行分析!
性能展示
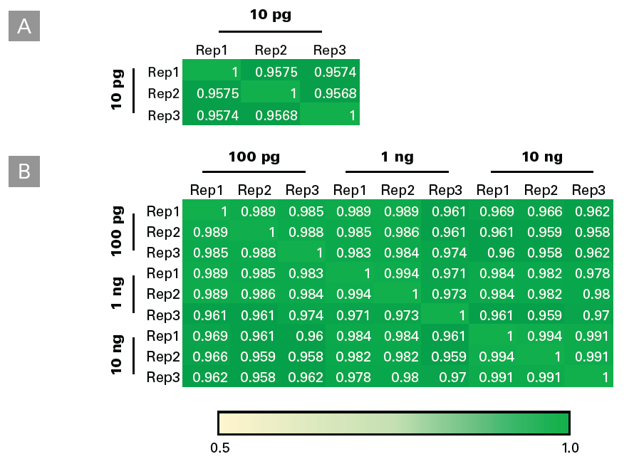
• 再現性測試數據
以10 pg K562 RNA以及3種不同起始量 (100 pg, 1 ng和10 ng)的 UHR RNA樣本起始,使用SMART-Seq mRNA LP (with UMIs)構建測序文庫,均做3個重復。然后進行測序,并使用CogentAP進行分析。結果顯示,重復之間相關性系數非常高。即使起始量為10 pg時,也具有非常高的重現性!
• 靈敏度測試數據
對36例核酸含量較低的PBMC樣本,使用SMART-Seq mRNA LP (with UMIs)制備文庫,并進行測序分析。結果顯示,通過基因表達譜分析確認了70%的PBMC是T細胞,這符合來自正常健康供體的PBMC預期比例。此外,還鑒定確認一個B細胞、一個NK細胞,一個單核細胞和兩個樹突狀細胞,另有6個細胞無法明確類型。由此也說明SMART-Seq mRNA LP (with UMIs)在單細胞水平的RNA-Seq分析上具有高靈敏度。
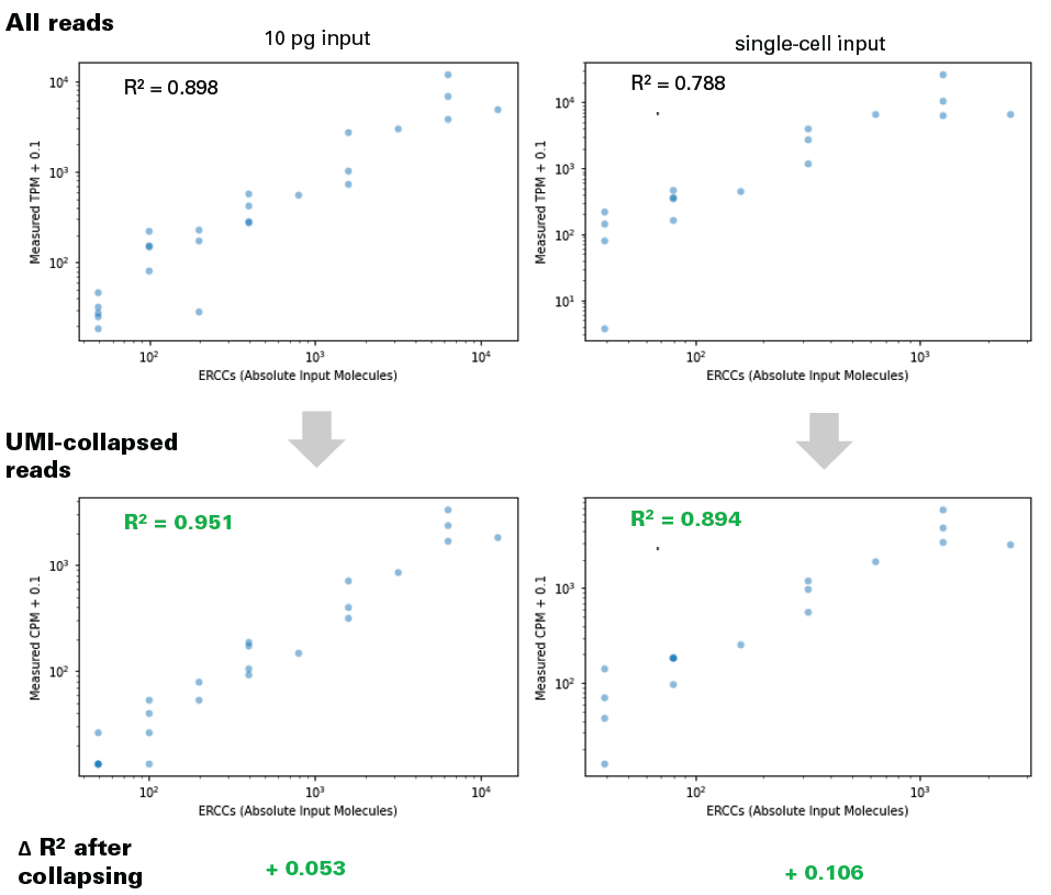
• 添加UMI校正偏差
分別對10 pg RNA和單個細胞獲得的RNA樣本,摻入ERCC control RNA后進行文庫制備,然后進行測序分析。結果顯示,添加UMI后,決定系數R2值明顯提高,表明添加UMI降低PCR duplication,獲得更準確的RNA counts。
• 兼容自動化平臺
SMART-Seq mRNA LP (with UMIs)兼容多種自動化液體工作站進行微縮化建庫。比如使用SMART-Seq mRNA LP (with UMIs)在Mantis Liquid Handler (Formulatrix)上將反應體系體積微縮至1/2(HV),1/4(QV)以及在mosquito HV liquid handler (SPT Labs)上將反應體系體積微縮至1/8,均能獲得與使用原反應體系高度一致的結果。保證性能的同時,降低了成本和操作時間!
PS:另外還有兩款新品,也值得關注哦!
• SMART-Seq mRNA LP:少量細胞/微量樣本的mRNA-Seq文庫構建試劑盒。它使用oligo(dT)引物起始,優化用于從10 pg-100 ng的高品質total RNA(RIN≥8)或1-1000個完整細胞起始,生成高質量的測序文庫。
• SMART-Seq mRNA:少量細胞/微量樣本的cDNA合成試劑盒。它可以用于Ultra low RNA(10 pg-100 ng)或少量細胞(1-1000個完整細胞)cDNA合成的試劑盒,提供全長轉錄本的信息。
|
Code No. |
產品名稱 |
包裝量 |
|
634762 |
SMART-Seq mRNA LP(with UMIs) |
24 Rxns |
|
634765 |
SMART-Seq mRNA LP(with UMIs) |
96 Rxns |
|
634766 |
SMART-Seq mRNA LP(with UMIs) |
4×96 Rxns |