
-
生物通官微
陪你抓住生命科技
跳動的脈搏
陳仁杰教授團隊聯合研究揭示空氣污染對高血壓不同進展階段的影響存在階梯式放大趨勢
【字體: 大 中 小 】 時間:2026年02月27日 來源:復旦大學公共衛生學院
編輯推薦:
近日,復旦大學公共衛生學院陳仁杰教授團隊聯合北京大學第一醫院心內科李建平教授團隊,在心血管領域國際頂級期刊《Journal of the American College of Cardiology》上發表了題為《Short-Term Exposure to Air Pollution Increases Mortality From Hypertension and its Multiorgan Complications: A Case Crossover Study of 2.1 Million Deaths in China》的研究論文
近日,復旦大學公共衛生學院陳仁杰教授團隊聯合北京大學第一醫院心內科李建平教授團隊,在心血管領域國際頂級期刊《Journal of the American College of Cardiology》上發表了題為《Short-Term Exposure to Air Pollution Increases Mortality From Hypertension and its Multiorgan Complications: A Case Crossover Study of 2.1 Million Deaths in China》的研究論文。該研究基于我國210多萬高血壓相關死亡的個體水平數據,從流行病學層面系統揭示了空氣污染暴露對高血壓不同進展階段(從原發性高血壓到多器官衰竭)死亡的階梯式放大趨勢,為高血壓人群的風險分層與精準環境干預提供了科學證據。
高血壓是驅動全球心血管疾病死亡的核心因素。持續升高的血壓會導致心臟、腎臟等多個靶器官的進行性損傷,呈現出從單純心室肥厚到復雜多器官衰竭的連續動態發展軌跡。盡管既往研究已證實空氣污染是誘發心血管急性事件的重要環境應激源,但流行病學研究大多將高血壓作為同質化的單一疾病結局進行評估,忽略其復雜的臨床發展進程。高血壓患者在不同靶器官受損階段對空氣污染暴露的反應是否存在差異?這一關鍵問題目前缺乏大規模研究證據的支持。
為填補上述研究空白,陳仁杰教授團隊開展了一項覆蓋全國、基于個體水平的時間分層病例交叉研究。該研究全面梳理了2013年至2019年間全國死因監測登記信息系統中的210多萬例高血壓相關死亡數據,并根據ICD-10編碼將高血壓死亡結局分為無并發癥的原發性高血壓(I10)、高血壓心臟病(I11)、高血壓腎臟病(I12)以及高血壓心臟和腎臟病(I13)。同時,根據是否發生心力衰竭或腎衰竭,對靶器官的損害嚴重程度進行進一步的亞組劃分。研究采用基于1×1公里的高分辨率衛星遙感暴露模型,針對每個死亡個案匹配其死亡當天(lag 0 d)至前6天(lag 6 d)的PM2.5、PM2.5-10、NO2和O3濃度。
研究結果表明,空氣污染暴露在lag 02 d(即當日和前兩日的平均濃度)時的死亡風險通常最高。這種死亡風險隨著高血壓合并癥數量和靶器官衰竭嚴重程度的增加,而呈現隨疾病進展的階梯式增加趨勢(圖1)。

圖1 研究結果概覽
在無靶器官損傷的原發性高血壓中, PM2.5濃度(lag 02 d)每升高一個四分位數間距,死亡風險增加1.39%(95%CI: 0.55%-2.24%);當病情進展至并發心臟病或腎臟病等單器官損傷時,死亡風險分別增加2.62%(95%CI: 2.20%-3.05%)和3.03%(95%CI: 1.53%-4.56%);而對于同時并發心衰和腎竭的高血壓心臟和腎臟病,其死亡風險增加5.01%(95%CI: 1.96%-8.16%),其死亡風險約是原發性高血壓的4倍。類似規律在其他三種污染物(PM2.5-10、NO2和O3)中同樣出現(圖2)。

圖2 空氣污染物暴露與不同進展階段高血壓死亡風險的階梯式增長趨勢
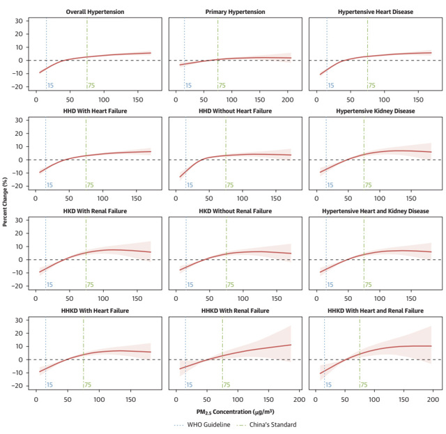
研究進一步證實,歸因于短期空氣污染暴露的死亡比例同樣隨著疾病進展加重而上升。在無并發癥的原發性高血壓死亡中,僅有0.65%可歸因于短期PM2.5暴露;而在合并心臟或腎臟單器官損傷的死亡中,這一歸因比例升高至2.12%和2.65%;而在同時并發心腎衰竭的高血壓心臟和腎臟病中,歸因比例最高(4.20%)。此外,暴露-反應關系曲線顯示,空氣污染短期暴露與高血壓死亡之間呈近似線性的正相關關系,且無明顯的安全閾值(圖3)。分層分析進一步提示,女性、老年人、居住在北方地區、受教育水平較低和無伴侶的人群以及冷季期間的死亡效應更強。

圖3 空氣污染物(PM2.5)短期暴露與不同進展階段高血壓死亡的暴露-反應關系曲線
該成果不僅為全球環境相關心血管健康損害提供了詳實的中國證據,更向當前的公共衛生政策與臨床實踐提出了新要求。空氣污染健康預警亟需轉向以臨床風險分層為導向的精準環境干預。臨床實踐應將環境空氣質量納入高血壓特別是危重癥患者的管理體系中,在重污染天氣及時采取醫療監控、用藥指導和嚴格的暴露防護措施。
復旦大學公共衛生學院博士研究生薛曉薇、中國疾病預防控制中心慢病中心周梓芳助理研究員為該論文的共同第一作者;復旦大學公共衛生學院陳仁杰教授和北京大學第一醫院心內科李建平教授為該論文的共同通訊作者。該研究得到了國家重點研發計劃(2022YFC3702701)、國家自然科學基金(82373532)及上海市基礎研究特區計劃(復旦大學)項目(21TQ015)的資助。中國疾病預防控制中心慢病中心的周脈耕主任和殷鵬研究員為本研究的順利開展提供了重要支持。
文章鏈接:https://www.jacc.org/doi/10.1016/j.jacc.2026.01.006
文章引用:Xue X, Zhou Z, Luo H, Gao Y, Kan H, Li J, Chen R. Short-Term Exposure to Air Pollution Increases Mortality From Hypertension and its Multiorgan Complications: A Case Crossover Study of 2.1 Million Deaths in China. J Am Coll Cardiol, 2026.