
-
生物通官微
陪你抓住生命科技
跳動的脈搏
物理學院劉運全課題組在電子關聯動力學中的非偶極效應研究中取得新進展
【字體: 大 中 小 】 時間:2026年03月03日 來源:北京大學新聞網
編輯推薦:
該成果系統研究了圓偏振強激光驅動下氙原子強場雙電離過程中的電子關聯問題,揭示了強激光場與多電子原子相互作用的非偶極效應與電子關聯耦合動力學,為強激光與物質相互作用中的多體線動量的傳遞提供了新的認識。
近日,北京大學物理學院現代光學研究所、人工微結構和介觀物理全國重點實驗室劉運全教授和龔旗煌院士等人在實驗和理論上系統研究了圓偏振強激光驅動下氙原子強場雙電離過程中的電子關聯問題,揭示了強激光場與多電子原子相互作用的非偶極效應與電子關聯耦合動力學,為強激光與物質相互作用中的多體線動量的傳遞提供了新的認識。2026年2月19日,相關研究成果以《圓偏振激光場中氙原子電子關聯動力學的非偶極效應》(“Nondipole Effects on Electron Correlation Dynamics of Xe atoms in Circularly Polarized Laser Fields”)為題,在線發表于《物理評論快報》(Physical Review Letters)。
電子關聯效應是強場物理中多電子動力學的核心問題之一。過去的研究中,人們通常認為在圓偏振光場中,非序列雙電離被抑制,電子之間近似獨立,不存在關聯。然而,近年來,隨著電子關聯動力學研究的深入,這一觀點逐漸受到質疑。另外,在理論上,在非微擾的條件下,激光場的磁場分量帶來的洛倫茲力使電子沿激光傳播方向產生動量偏移,這是非偶極效應的重要特征,在強激光與原子相互作用的單電子過程得到廣泛研究。圓偏振光場驅動下強場多電子過程中的非偶極效應相關的研究仍然匱乏,強場雙電離的電子關聯與非偶極效應之間存在的聯系尚待深入探索。
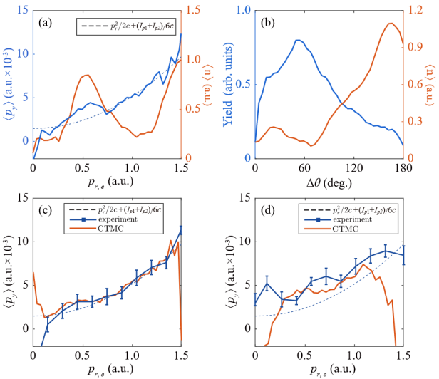
針對多電子過程的電子關聯和非偶極效應,課題組采用超高真空冷靶反沖離子動量譜技術(COLTRIMS),在800nm圓偏振激光驅動下,對氙原子雙電離產物進行符合測量,實驗結果如圖1所示。實驗發現,二價離子Xe2+在偏振平面內的動量,呈以零動量為中心的二維高斯分布(圖1a);兩電子特定方向關聯動量譜,呈現清晰的“四瓣結構”(圖1b);這表明圓偏振光場下的雙電離過程存在明顯的電子關聯效應。更重要的是,研究人員測量了電子沿激光傳播方向的平均動量偏移(圖1c—d),以表征非偶極效應,發現了低能電子區域平均動量偏移顯著的增大。

圖1 800nm圓偏振光場驅動下氙原子雙電離實驗結果。(a)Xe2+離子在偏振平面的動量分布。(b) p z方向兩電子關聯動量分布。(c)( pr ,py)平面雙電離電子動量分布(d)雙電離電子沿激光傳播方向的平均動量偏移
為解釋上述現象,研究人員建立了包含非偶極修正的雙電子經典軌跡蒙特卡洛(CTMC)模型。利用該模型,研究人員成功復現了實驗中所觀察到的現象,并利用經典的電子軌跡分析,進一步揭示了高能光電子主要對應順序雙電離,兩個電子傾向于同向出射;而低能光電子產生過程中,再碰撞并未完全抑制,兩個電子傾向于背向出射,并發生線動量再分配,增加了低能電子的非偶極動量偏移(圖2a—b)。

圖2 電子關聯效應與非偶極效應之間的潛在聯系。(a)平均動量偏移和平均碰撞次數隨徑向動量的變化。(b)光電子產率和平均碰撞次數隨兩個電子發射角角度差的變化。模擬和實驗得到同向出射(c)和背向出射(d)光電子的平均動量偏移曲線
更進一步,基于非偶極效應對電子再碰撞的高敏感性,研究人員提出了可直接實驗驗證的電子關聯判據:通過動量守恒篩選不同離子動量區間,分別提取同向出射與背向出射電子的平均動量偏移,結果如圖2c—d所示。同向出射電子的非偶極偏移與獨立電離預期吻合;而背向出射電子整體呈現更大的上移,對應更高的再碰撞概率。這建立了強場雙電離中電子關聯效應與非偶極效應之間直接聯系,并得到了實驗驗證,為理解強場多體系統中的線動量傳遞與電子關聯提供了新視角。
北京大學物理學院2020級博士竇衍琨和2023級博士研究生李培增為論文共同第一作者,劉運全為該論文的通訊作者。該研究工作得到了國家重點研發計劃項目以及國家自然科學基金項目的支持。